%| Calcular porcentaje online

Problemas resueltos de ecuaciones

Resolvemos 10 problemas de ecuaciones de primer grado. Tenemos que plantear y resolver una ecuación de primer grado.

Método de resolución:

  1. Obtener los datos
  2. Identificar la incógnita
  3. Plantear y resolver la ecuación

Más ejemplos en problemas de ecuaciones.

Problema 1

Hallar un número que sumado consigo mismo da 124.

Solución:

El número que buscamos es \(x\).

La suma del número consigo mismo es \(x+x\).

Como la suma anterior tiene que ser 124, tenemos la ecuación:

Problemas resueltos y explicados de ecuaciones. Tenemos que plantear y resolver una ecuación de primer grado. Matemáticas. Secundaria. ESO. Álgebra.

Resolvemos la ecuación:

Problemas resueltos y explicados de ecuaciones. Tenemos que plantear y resolver una ecuación de primer grado. Matemáticas. Secundaria. ESO. Álgebra.

El número que buscamos es 62.

Problema 2

Dentro de 6 años, la edad de Roberto será el triple de su edad actual. ¿Qué edad tiene Roberto?

Solución:

La edad actual de Roberto es \(x\).

Dentro de 6 años, Roberto tendrá 6 años más, es decir, su edad será \(x+6\).

El triple de la edad actual de Roberto es \(3·x\).

Por tanto, la ecuación es

Problemas resueltos y explicados de ecuaciones. Tenemos que plantear y resolver una ecuación de primer grado. Matemáticas. Secundaria. ESO. Álgebra.

Resolvemos la ecuación:

Problemas resueltos y explicados de ecuaciones. Tenemos que plantear y resolver una ecuación de primer grado. Matemáticas. Secundaria. ESO. Álgebra.

La edad actual de Roberto es 3 años.

Problema 3

La suma de dos números naturales consecutivos es 37. ¿Qué números son?

Solución:

Recordad que los números naturales son 0, 1, 2, 3, 4...

Uno de los números es \(x\).

El consecutivo de \(x\) es el que le sigue, es decir, es \(x+1\).

La suma de estos números es 37:

Problemas resueltos y explicados de ecuaciones. Tenemos que plantear y resolver una ecuación de primer grado. Matemáticas. Secundaria. ESO. Álgebra.

Resolvemos la ecuación:

Problemas resueltos y explicados de ecuaciones. Tenemos que plantear y resolver una ecuación de primer grado. Matemáticas. Secundaria. ESO. Álgebra.

El otro número es

Problemas resueltos y explicados de ecuaciones. Tenemos que plantear y resolver una ecuación de primer grado. Matemáticas. Secundaria. ESO. Álgebra.

Por tanto, los dos números son 18 y 19.

Problema 4

Problemas resueltos y explicados de ecuaciones. Tenemos que plantear y resolver una ecuación de primer grado. Matemáticas. Secundaria. ESO. Álgebra.

La base de un rectángulo es el doble que su altura y su perímetro es \(30cm\). ¿Cuánto miden sus lados?

Solución:

La altura es \(x\).

Como la base es el doble que la altura, la base es \(2x\).

El perímetro de un rectángulo es la suma del doble de la base y del doble de la altura:

Problemas resueltos y explicados de ecuaciones. Tenemos que plantear y resolver una ecuación de primer grado. Matemáticas. Secundaria. ESO. Álgebra.

Resolvemos la ecuación:

Problemas resueltos y explicados de ecuaciones. Tenemos que plantear y resolver una ecuación de primer grado. Matemáticas. Secundaria. ESO. Álgebra.

La altura del rectángulo es 5cm y la base es el doble, es decir, 10cm.

Problema 5

La suma del doble y del triple de un número es 55. ¿De qué número se trata?

Solución:

El número es \(x\).

Su doble es \(2x\).

Su triple es \(3x\).

La suma del doble y del triple es 55:

Problemas resueltos y explicados de ecuaciones. Tenemos que plantear y resolver una ecuación de primer grado. Matemáticas. Secundaria. ESO. Álgebra.

Resolvemos la ecuación:

Problemas resueltos y explicados de ecuaciones. Tenemos que plantear y resolver una ecuación de primer grado. Matemáticas. Secundaria. ESO. Álgebra.

Se trata del número 11.

Problema 6

El doble del consecutivo de un número natural es 88. ¿Qué número es?

Solución:

El número es \(x\).

Su consecutivo es \(x+1\).

El doble del consecutivo es \(2·(x+1)\).

Por tanto, la ecuación que tenemos es

Problemas resueltos y explicados de ecuaciones. Tenemos que plantear y resolver una ecuación de primer grado. Matemáticas. Secundaria. ESO. Álgebra.

Resolvemos la ecuación:

Problemas resueltos y explicados de ecuaciones. Tenemos que plantear y resolver una ecuación de primer grado. Matemáticas. Secundaria. ESO. Álgebra.

Es el número 43.

Problema 7

Hace 3 años, la edad de Raúl era el doble de la edad que tenía hace 5 años. ¿Qué edad tiene Raúl?

Solución:

La edad actual de Raúl es \(x\).

Hace 3 años, su edad era \(x-3\).

Hace 5 años, su edad era \(x-5\).

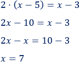
La ecuación que tenemos es

Problemas resueltos y explicados de ecuaciones. Tenemos que plantear y resolver una ecuación de primer grado. Matemáticas. Secundaria. ESO. Álgebra.

Resolvemos la ecuación:

Problemas resueltos y explicados de ecuaciones. Tenemos que plantear y resolver una ecuación de primer grado. Matemáticas. Secundaria. ESO. Álgebra.

Actualmente, la edad de Raúl es 7 años.

Problema 8

Hallar el número cuya mitad y cuyo triple suman 42.

Solución:

El número es \(x\).

Su mitad es \(x/2\) y su triple es \(3·x\).

La ecuación que tenemos es

Problemas resueltos y explicados de ecuaciones. Tenemos que plantear y resolver una ecuación de primer grado. Matemáticas. Secundaria. ESO. Álgebra.

Resolvemos (multiplicamos la ecuación por 2):

Problemas resueltos y explicados de ecuaciones. Tenemos que plantear y resolver una ecuación de primer grado. Matemáticas. Secundaria. ESO. Álgebra.

El número es el 12.

Problema 9

Tenemos dos sacos iguales de cemento, pero en uno sólo queda la mitad y en el otro queda la cuarta parte. Si en total tenemos 12kg de cemento, ¿de cuántos kilos son los sacos?

Solución:

Los sacos son de \(x\) kilos (cada uno).

En un saco tenemos \(x/2\) kilos de cemento.

En el otro saco tenemos \(x/4\) kilos de cemento.

La suma de ambos es 12kg:

Problemas resueltos y explicados de ecuaciones. Tenemos que plantear y resolver una ecuación de primer grado. Matemáticas. Secundaria. ESO. Álgebra.

Resolvemos la ecuación (la multiplicamos por 4):

Problemas resueltos y explicados de ecuaciones. Tenemos que plantear y resolver una ecuación de primer grado. Matemáticas. Secundaria. ESO. Álgebra.

Los sacos son de 16kg.

Problema 10

La suma de las edades de dos hermanas que se llevan 5 años es igual a 35. ¿Qué edades tienen?

Solución:

La edad de la hermana pequeña es \(x\).

La edad de la mayor es \(x+5\).

La suma de las edades es 35:

Problemas resueltos y explicados de ecuaciones. Tenemos que plantear y resolver una ecuación de primer grado. Matemáticas. Secundaria. ESO. Álgebra.

Resolvemos la ecuación:

Problemas resueltos y explicados de ecuaciones. Tenemos que plantear y resolver una ecuación de primer grado. Matemáticas. Secundaria. ESO. Álgebra.

La pequeña tiene 15 años y la mayor tiene 20 años.


Calcular porcentaje online ©

Problemas resueltos:

Enlaces de interés:


Calcular porcentaje online ©