%| Calcular porcentaje online

Propiedades de las potencias (con problemas)

Enunciamos las propiedades de las potencias y mostramos ejemplos de cómo aplicarlas. Después, resolvemos 5 problemas aplicando las propiedades vistas.

Más ejemplos en potencias y ejercicios interactivos de potencias.

Recordatorio

En la potencia \(a^b\),

  • \(a\) es la base y
  • \(b\) es el exponente;
  • se calcula multiplicando \(b\) veces la base, \(a\).

Por ejemplo,

Enunciamos las propiedades de las potencias (potencia del producto, del cociente, de una potencia, cuadrado de una suma/resta, exponente negativo) y mostramos ejemplos de cómo aplicarlas. Después, resolvemos 5 problemas aplicando las propiedades vistas.

Si el exponente es 1, no es necesario escribirlo.

¡Observad que, en la mayoría de las propiedades, las bases de las potencias tienen que ser iguales!

Multiplicación

El producto de potencias con la misma base se calcula sumando sus exponentes:

Enunciamos las propiedades de las potencias (potencia del producto, del cociente, de una potencia, cuadrado de una suma/resta, exponente negativo) y mostramos ejemplos de cómo aplicarlas. Después, resolvemos 5 problemas aplicando las propiedades vistas.

Por ejemplo,

Enunciamos las propiedades de las potencias (potencia del producto, del cociente, de una potencia, cuadrado de una suma/resta, exponente negativo) y mostramos ejemplos de cómo aplicarlas. Después, resolvemos 5 problemas aplicando las propiedades vistas.

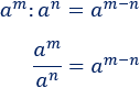
División

La división de potencias con la misma base se calcula restando sus exponentes:

Enunciamos las propiedades de las potencias (potencia del producto, del cociente, de una potencia, cuadrado de una suma/resta, exponente negativo) y mostramos ejemplos de cómo aplicarlas. Después, resolvemos 5 problemas aplicando las propiedades vistas.

Por ejemplo,

Enunciamos las propiedades de las potencias (potencia del producto, del cociente, de una potencia, cuadrado de una suma/resta, exponente negativo) y mostramos ejemplos de cómo aplicarlas. Después, resolvemos 5 problemas aplicando las propiedades vistas.

Potenciación

La potencia de una potencia se calcula multiplicando sus exponentes:

Enunciamos las propiedades de las potencias (potencia del producto, del cociente, de una potencia, cuadrado de una suma/resta, exponente negativo) y mostramos ejemplos de cómo aplicarlas. Después, resolvemos 5 problemas aplicando las propiedades vistas.

Por ejemplo,

Enunciamos las propiedades de las potencias (potencia del producto, del cociente, de una potencia, cuadrado de una suma/resta, exponente negativo) y mostramos ejemplos de cómo aplicarlas. Después, resolvemos 5 problemas aplicando las propiedades vistas.

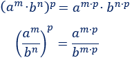
Potenciación de un producto o cociente

La potencia de un producto/cociente de potencias se calcula multiplicando los exponentes de las potencias:

Enunciamos las propiedades de las potencias (potencia del producto, del cociente, de una potencia, cuadrado de una suma/resta, exponente negativo) y mostramos ejemplos de cómo aplicarlas. Después, resolvemos 5 problemas aplicando las propiedades vistas.

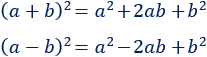
Cuadrado de una suma/resta

Para calcular el cuadrado de una suma/resta aplicamos las siguientes fórmulas:

Enunciamos las propiedades de las potencias (potencia del producto, del cociente, de una potencia, cuadrado de una suma/resta, exponente negativo) y mostramos ejemplos de cómo aplicarlas. Después, resolvemos 5 problemas aplicando las propiedades vistas.

Por ejemplo,

Enunciamos las propiedades de las potencias (potencia del producto, del cociente, de una potencia, cuadrado de una suma/resta, exponente negativo) y mostramos ejemplos de cómo aplicarlas. Después, resolvemos 5 problemas aplicando las propiedades vistas.

Para cada \(n\) natural, existen fórmulas para calcular \((a\pm b)^n\), pero no las enunciamos por su extensión.

Inverso

Cuando el exponente es negativo, podemos eliminar el signo negativo escribiendo el inverso de la base:

Enunciamos las propiedades de las potencias (potencia del producto, del cociente, de una potencia, cuadrado de una suma/resta, exponente negativo) y mostramos ejemplos de cómo aplicarlas. Después, resolvemos 5 problemas aplicando las propiedades vistas.

Por ejemplo,

Enunciamos las propiedades de las potencias (potencia del producto, del cociente, de una potencia, cuadrado de una suma/resta, exponente negativo) y mostramos ejemplos de cómo aplicarlas. Después, resolvemos 5 problemas aplicando las propiedades vistas.

Bases negativas

Si la base es negativa,

  • el resultado es positivo si el exponente es par y
  • es negativo si el exponente es impar.

Por ejemplo,

Enunciamos las propiedades de las potencias (potencia del producto, del cociente, de una potencia, cuadrado de una suma/resta, exponente negativo) y mostramos ejemplos de cómo aplicarlas. Después, resolvemos 5 problemas aplicando las propiedades vistas.

Problema 1

Calcular las siguientes potencias:

Enunciamos las propiedades de las potencias (potencia del producto, del cociente, de una potencia, cuadrado de una suma/resta, exponente negativo) y mostramos ejemplos de cómo aplicarlas. Después, resolvemos 5 problemas aplicando las propiedades vistas.

Solución:

Multiplicamos la base por sí misma tantas veces como indica el exponente.

Dos a la cuarta:

Enunciamos las propiedades de las potencias (potencia del producto, del cociente, de una potencia, cuadrado de una suma/resta, exponente negativo) y mostramos ejemplos de cómo aplicarlas. Después, resolvemos 5 problemas aplicando las propiedades vistas.

Tres al cubo:

Enunciamos las propiedades de las potencias (potencia del producto, del cociente, de una potencia, cuadrado de una suma/resta, exponente negativo) y mostramos ejemplos de cómo aplicarlas. Después, resolvemos 5 problemas aplicando las propiedades vistas.

Cinco al cuadrado:

Enunciamos las propiedades de las potencias (potencia del producto, del cociente, de una potencia, cuadrado de una suma/resta, exponente negativo) y mostramos ejemplos de cómo aplicarlas. Después, resolvemos 5 problemas aplicando las propiedades vistas.

Cuadrado de menos dos:

Enunciamos las propiedades de las potencias (potencia del producto, del cociente, de una potencia, cuadrado de una suma/resta, exponente negativo) y mostramos ejemplos de cómo aplicarlas. Después, resolvemos 5 problemas aplicando las propiedades vistas.

Cubo de menos tres:

Enunciamos las propiedades de las potencias (potencia del producto, del cociente, de una potencia, cuadrado de una suma/resta, exponente negativo) y mostramos ejemplos de cómo aplicarlas. Después, resolvemos 5 problemas aplicando las propiedades vistas.

Problema 2

Calcular las siguientes multiplicaciones potencias:

Enunciamos las propiedades de las potencias (potencia del producto, del cociente, de una potencia, cuadrado de una suma/resta, exponente negativo) y mostramos ejemplos de cómo aplicarlas. Después, resolvemos 5 problemas aplicando las propiedades vistas.

Solución:

Sumamos los exponentes de las potencias con igual base:

Enunciamos las propiedades de las potencias (potencia del producto, del cociente, de una potencia, cuadrado de una suma/resta, exponente negativo) y mostramos ejemplos de cómo aplicarlas. Después, resolvemos 5 problemas aplicando las propiedades vistas.

En el siguiente, tenemos tres potencias con base común:

Enunciamos las propiedades de las potencias (potencia del producto, del cociente, de una potencia, cuadrado de una suma/resta, exponente negativo) y mostramos ejemplos de cómo aplicarlas. Después, resolvemos 5 problemas aplicando las propiedades vistas.

En el siguiente, sólo podemos sumar los exponentes de las potencias de 3:

Enunciamos las propiedades de las potencias (potencia del producto, del cociente, de una potencia, cuadrado de una suma/resta, exponente negativo) y mostramos ejemplos de cómo aplicarlas. Después, resolvemos 5 problemas aplicando las propiedades vistas.

En el siguiente, hay que sumar los exponentes con el signo negativo incluido:

Enunciamos las propiedades de las potencias (potencia del producto, del cociente, de una potencia, cuadrado de una suma/resta, exponente negativo) y mostramos ejemplos de cómo aplicarlas. Después, resolvemos 5 problemas aplicando las propiedades vistas.

Problema 3

Calcular las siguientes potencias de potencias:

Enunciamos las propiedades de las potencias (potencia del producto, del cociente, de una potencia, cuadrado de una suma/resta, exponente negativo) y mostramos ejemplos de cómo aplicarlas. Después, resolvemos 5 problemas aplicando las propiedades vistas.

Solución:

Sólo tenemos que multiplicar los exponentes:

Enunciamos las propiedades de las potencias (potencia del producto, del cociente, de una potencia, cuadrado de una suma/resta, exponente negativo) y mostramos ejemplos de cómo aplicarlas. Después, resolvemos 5 problemas aplicando las propiedades vistas.

En la siguiente, tenemos el cuadrado de un producto de potencias:

Enunciamos las propiedades de las potencias (potencia del producto, del cociente, de una potencia, cuadrado de una suma/resta, exponente negativo) y mostramos ejemplos de cómo aplicarlas. Después, resolvemos 5 problemas aplicando las propiedades vistas.

En la siguiente, tenemos que multiplicar con los signos negativos de los exponentes:

Enunciamos las propiedades de las potencias (potencia del producto, del cociente, de una potencia, cuadrado de una suma/resta, exponente negativo) y mostramos ejemplos de cómo aplicarlas. Después, resolvemos 5 problemas aplicando las propiedades vistas.

En la siguiente, aunque hay 3 exponentes, la propiedad es la misma:

Enunciamos las propiedades de las potencias (potencia del producto, del cociente, de una potencia, cuadrado de una suma/resta, exponente negativo) y mostramos ejemplos de cómo aplicarlas. Después, resolvemos 5 problemas aplicando las propiedades vistas.

Problema 4

Calcular las siguientes divisiones de potencias:

Enunciamos las propiedades de las potencias (potencia del producto, del cociente, de una potencia, cuadrado de una suma/resta, exponente negativo) y mostramos ejemplos de cómo aplicarlas. Después, resolvemos 5 problemas aplicando las propiedades vistas.

Solución:

En un cociente, se restan los exponentes (el del numerador menos el del denominador):

Enunciamos las propiedades de las potencias (potencia del producto, del cociente, de una potencia, cuadrado de una suma/resta, exponente negativo) y mostramos ejemplos de cómo aplicarlas. Después, resolvemos 5 problemas aplicando las propiedades vistas.

En la siguiente, las bases de las potencias no son las mismas, así que no podemos restar los exponentes, pero podemos escribir el 6 como el producto 2·3. Esto nos permite aplicar las propiedades porque tendremos bases comunes.

Enunciamos las propiedades de las potencias (potencia del producto, del cociente, de una potencia, cuadrado de una suma/resta, exponente negativo) y mostramos ejemplos de cómo aplicarlas. Después, resolvemos 5 problemas aplicando las propiedades vistas.

En la siguiente, escribimos 30 como 2·3·5 y 10 como 2·5:

Enunciamos las propiedades de las potencias (potencia del producto, del cociente, de una potencia, cuadrado de una suma/resta, exponente negativo) y mostramos ejemplos de cómo aplicarlas. Después, resolvemos 5 problemas aplicando las propiedades vistas.

Observad que los factores \(2^2\) y \(5^2\) se cancelan porque aparecen en el numerador y en el denominador.

En la siguiente, escribimos 36, 45 y 9 como potencias:

Enunciamos las propiedades de las potencias (potencia del producto, del cociente, de una potencia, cuadrado de una suma/resta, exponente negativo) y mostramos ejemplos de cómo aplicarlas. Después, resolvemos 5 problemas aplicando las propiedades vistas.

Problema 5

Simplificar/reducir las siguientes expresiones:

Enunciamos las propiedades de las potencias (potencia del producto, del cociente, de una potencia, cuadrado de una suma/resta, exponente negativo) y mostramos ejemplos de cómo aplicarlas. Después, resolvemos 5 problemas aplicando las propiedades vistas.

Solución:

Escribimos 40, 10 y 12 como potencias:

Enunciamos las propiedades de las potencias (potencia del producto, del cociente, de una potencia, cuadrado de una suma/resta, exponente negativo) y mostramos ejemplos de cómo aplicarlas. Después, resolvemos 5 problemas aplicando las propiedades vistas.

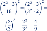
Escribimos 18 como una potencia; el exponente de la fracción pasa al numerador y al denominador:

Enunciamos las propiedades de las potencias (potencia del producto, del cociente, de una potencia, cuadrado de una suma/resta, exponente negativo) y mostramos ejemplos de cómo aplicarlas. Después, resolvemos 5 problemas aplicando las propiedades vistas.

Podemos escribir las divisiones como fracciones; el exponente negativo es el inverso de la fracción:

Enunciamos las propiedades de las potencias (potencia del producto, del cociente, de una potencia, cuadrado de una suma/resta, exponente negativo) y mostramos ejemplos de cómo aplicarlas. Después, resolvemos 5 problemas aplicando las propiedades vistas.

Calcular porcentaje online ©

Problemas resueltos:

Enlaces de interés:


Calcular porcentaje online ©