%| Calcular porcentaje online

Problemas resueltos del teorema de Pitágoras

En esta página explicamos el teorema de Pitágoras y resolvemos algunos problemas de aplicación.

El teorema de Pitágoras nos permite calcular la medida de uno de los lados de un triángulo rectángulo a partir de los otros dos.

Conceptos necesarios:

  • Un triángulo es rectángulo cuando uno de sus ángulos interiores es recto, es decir, mide 90 grados (ó π/2 radianes).
  • La hipotenusa es el lado del triángulo frente al ángulo recto.
  • Los catetos son los otros dos lados.
  • La hipotenusa siempre mide más que los catetos.

Teorema de Pitágoras

Explicamos el teorema de Pitágoras y resolvemos detalladamente 5 problemas de aplicación. El teorema dice que el cuadrado de la hipotenusa es la suma de los cuadrados de los catetos. Matemáticas. Secundaria. Geometría.

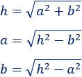
Si la hipotenusa de un triángulo rectángulo mide \(h\) y sus catetos miden \(a\) y \(b\), entonces:

Explicamos el teorema de Pitágoras y resolvemos detalladamente 5 problemas de aplicación. El teorema dice que el cuadrado de la hipotenusa es la suma de los cuadrados de los catetos. Matemáticas. Secundaria. Geometría.

Es decir,

El cuadrado de la hipotenusa es igual a la suma de los cuadrados de los catetos.

Despejando y tomando raíces, tenemos:

Explicamos el teorema de Pitágoras y resolvemos detalladamente 5 problemas de aplicación. El teorema dice que el cuadrado de la hipotenusa es la suma de los cuadrados de los catetos. Matemáticas. Secundaria. Geometría.

Más ejemplos teorema de Pitágoras.

Problema 1

Explicamos el teorema de Pitágoras y resolvemos detalladamente 5 problemas de aplicación. El teorema dice que el cuadrado de la hipotenusa es la suma de los cuadrados de los catetos. Matemáticas. Secundaria. Geometría.

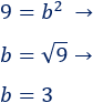
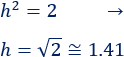
¿Cuánto mide la hipotenusa de un triángulo rectángulo si sus dos catetos miden 1cm?

Solución:

Datos:

  • La hipotenusa es \(h\).
  • Los catetos son \(a=1\) y \(b=1\).

La fórmula del teorema es

Explicamos el teorema de Pitágoras y resolvemos detalladamente 5 problemas de aplicación. El teorema dice que el cuadrado de la hipotenusa es la suma de los cuadrados de los catetos. Matemáticas. Secundaria. Geometría.

Sustituimos los datos:

Explicamos el teorema de Pitágoras y resolvemos detalladamente 5 problemas de aplicación. El teorema dice que el cuadrado de la hipotenusa es la suma de los cuadrados de los catetos. Matemáticas. Secundaria. Geometría.

Como tenemos la hipotenusa al cuadrado, hacemos la raíz cuadrada:

Explicamos el teorema de Pitágoras y resolvemos detalladamente 5 problemas de aplicación. El teorema dice que el cuadrado de la hipotenusa es la suma de los cuadrados de los catetos. Matemáticas. Secundaria. Geometría.

Por tanto, la hipotenusa mide \(\sqrt{2}cm\) (aproximadamente, \(1.41cm\)).

Problema 2

Explicamos el teorema de Pitágoras y resolvemos detalladamente 5 problemas de aplicación. El teorema dice que el cuadrado de la hipotenusa es la suma de los cuadrados de los catetos. Matemáticas. Secundaria. Geometría.

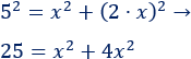
La hipotenusa de un triángulo mide 5m y uno de sus catetos mide 4m. ¿Cuánto mide el otro cateto?

Solución:

Datos:

  • La hipotenusa es \(h=5\).
  • Un cateto es \(a = 4\).
  • El otro cateto es \(b\).

La fórmula del teorema es

Explicamos el teorema de Pitágoras y resolvemos detalladamente 5 problemas de aplicación. El teorema dice que el cuadrado de la hipotenusa es la suma de los cuadrados de los catetos. Matemáticas. Secundaria. Geometría.

Sustituimos los datos:

Explicamos el teorema de Pitágoras y resolvemos detalladamente 5 problemas de aplicación. El teorema dice que el cuadrado de la hipotenusa es la suma de los cuadrados de los catetos. Matemáticas. Secundaria. Geometría.

Despejamos \(b^2\):

Explicamos el teorema de Pitágoras y resolvemos detalladamente 5 problemas de aplicación. El teorema dice que el cuadrado de la hipotenusa es la suma de los cuadrados de los catetos. Matemáticas. Secundaria. Geometría.

Como tenemos el cateto al cuadrado, hacemos la raíz cuadrada:

Explicamos el teorema de Pitágoras y resolvemos detalladamente 5 problemas de aplicación. El teorema dice que el cuadrado de la hipotenusa es la suma de los cuadrados de los catetos. Matemáticas. Secundaria. Geometría.

Por tanto, el otro cateto mide 3 metros.

Problema 3

Explicamos el teorema de Pitágoras y resolvemos detalladamente 5 problemas de aplicación. El teorema dice que el cuadrado de la hipotenusa es la suma de los cuadrados de los catetos. Matemáticas. Secundaria. Geometría.

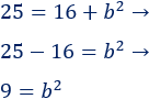
A una distancia de 2 metros de la base de una torre, vemos su bandera a una distancia de 5.39 metros en línea recta. ¿Cuál es la altura de la torre si la de la bandera es 1 metro?

Solución:

Datos:

  • La hipotenusa es \(h = 5.39\).
  • Uno de los catetos es \(a = 2\).
  • El otro cateto (altura de la torre y de la bandera) es \(b\).

La fórmula del teorema es

Explicamos el teorema de Pitágoras y resolvemos detalladamente 5 problemas de aplicación. El teorema dice que el cuadrado de la hipotenusa es la suma de los cuadrados de los catetos. Matemáticas. Secundaria. Geometría.

Sustituimos los datos:

Explicamos el teorema de Pitágoras y resolvemos detalladamente 5 problemas de aplicación. El teorema dice que el cuadrado de la hipotenusa es la suma de los cuadrados de los catetos. Matemáticas. Secundaria. Geometría.

Despejamos \(b^2\):

Explicamos el teorema de Pitágoras y resolvemos detalladamente 5 problemas de aplicación. El teorema dice que el cuadrado de la hipotenusa es la suma de los cuadrados de los catetos. Matemáticas. Secundaria. Geometría.

Calculamos \(b\):

Explicamos el teorema de Pitágoras y resolvemos detalladamente 5 problemas de aplicación. El teorema dice que el cuadrado de la hipotenusa es la suma de los cuadrados de los catetos. Matemáticas. Secundaria. Geometría.

Por tanto, la altura de la torre y la bandera es de 5m. Como la altura de la bandera es 1m, la altura de la torre es 4 metros.

Problema 4

Explicamos el teorema de Pitágoras y resolvemos detalladamente 5 problemas de aplicación. El teorema dice que el cuadrado de la hipotenusa es la suma de los cuadrados de los catetos. Matemáticas. Secundaria. Geometría.

La hipotenusa de un triángulo mide 5mm. ¿Cuánto miden sus catetos si uno de ellos mide el doble que el otro?

Solución:

Datos:

  • La hipotenusa es \(h = 5\).
  • Uno de los catetos es \(a = x\) (escribimos \(x\) porque no sabemos su longitud).
  • El otro cateto mide el doble, es decir, \(b = 2·x\).

La fórmula del teorema es

Explicamos el teorema de Pitágoras y resolvemos detalladamente 5 problemas de aplicación. El teorema dice que el cuadrado de la hipotenusa es la suma de los cuadrados de los catetos. Matemáticas. Secundaria. Geometría.

Sustituimos los datos:

Explicamos el teorema de Pitágoras y resolvemos detalladamente 5 problemas de aplicación. El teorema dice que el cuadrado de la hipotenusa es la suma de los cuadrados de los catetos. Matemáticas. Secundaria. Geometría.

Recordad que el cuadrado del producto es el cuadrado de los factores:

Explicamos el teorema de Pitágoras y resolvemos detalladamente 5 problemas de aplicación. El teorema dice que el cuadrado de la hipotenusa es la suma de los cuadrados de los catetos. Matemáticas. Secundaria. Geometría.

Podemos sumar los términos del lado derecho:

Explicamos el teorema de Pitágoras y resolvemos detalladamente 5 problemas de aplicación. El teorema dice que el cuadrado de la hipotenusa es la suma de los cuadrados de los catetos. Matemáticas. Secundaria. Geometría.

El 5 pasa dividiendo al otro lado:

Explicamos el teorema de Pitágoras y resolvemos detalladamente 5 problemas de aplicación. El teorema dice que el cuadrado de la hipotenusa es la suma de los cuadrados de los catetos. Matemáticas. Secundaria. Geometría.

Hacemos la raíz cuadrada:

Explicamos el teorema de Pitágoras y resolvemos detalladamente 5 problemas de aplicación. El teorema dice que el cuadrado de la hipotenusa es la suma de los cuadrados de los catetos. Matemáticas. Secundaria. Geometría.

Por tanto, uno de los catetos mide \(\sqrt{5}mm\) (aproximadamente, \(2.24mm\)) y el otro cateto mide \(2·\sqrt{5}mm\) (aproximadamente, \(4.48mm\)).

Problema 5

Explicamos el teorema de Pitágoras y resolvemos detalladamente 5 problemas de aplicación. El teorema dice que el cuadrado de la hipotenusa es la suma de los cuadrados de los catetos. Matemáticas. Secundaria. Geometría.

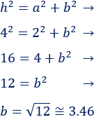
Calcular el área de un triángulo rectángulo sabiendo que su hipotenusa mide 4m y uno de sus catetos mide 2m.

Solución:

Datos:

  • La hipotenusa es \(h = 4\).
  • Un cateto es \(a = 2\).
  • El área de un triángulo es "base por altura entre 2".

La base del triángulo mide 2m. Podemos calcular la altura a partir de su hipotenusa porque es el otro cateto.

La fórmula del teorema es

Explicamos el teorema de Pitágoras y resolvemos detalladamente 5 problemas de aplicación. El teorema dice que el cuadrado de la hipotenusa es la suma de los cuadrados de los catetos. Matemáticas. Secundaria. Geometría.

Sustituimos los datos:

Explicamos el teorema de Pitágoras y resolvemos detalladamente 5 problemas de aplicación. El teorema dice que el cuadrado de la hipotenusa es la suma de los cuadrados de los catetos. Matemáticas. Secundaria. Geometría.

La altura del triángulo es \(\sqrt{12}m\) (aproximadamente, \(3.46m\)).

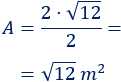
Calculamos el área:

Explicamos el teorema de Pitágoras y resolvemos detalladamente 5 problemas de aplicación. El teorema dice que el cuadrado de la hipotenusa es la suma de los cuadrados de los catetos. Matemáticas. Secundaria. Geometría.

El área del triángulo es \(\sqrt{12}m^2\) (aproximadamente, \(3.46m^2\)).


Calcular porcentaje online ©

Problemas resueltos:

Enlaces de interés:


Calcular porcentaje online ©