%| Calcular porcentaje online

Problemas de trigonometría

(seno, coseno y tangente)

Recordamos cómo calcular el seno, el coseno y la tangente del ángulo de un triángulo rectángulo a partir de sus lados y resolvemos algunos problemas de trigonometría básica aplicando dichas definiciones. Más problemas en problemas de trigonométria básica.

Sea el siguiente triángulo rectángulo:

Fórmulas para calcular el seno, el coseno y la tangente del ángulo de un triángulo rectángulo a partir de sus lados y problemas resueltos de trigonometría básica aplicando dichas fórmulas. Geometría. Matemáticas. Secundaria.
  • El coseno de un ángulo α es el cateto contiguo o adyacente al ángulo recto entre la hipotenusa:

Fórmulas para calcular el seno, el coseno y la tangente del ángulo de un triángulo rectángulo a partir de sus lados y problemas resueltos de trigonometría básica aplicando dichas fórmulas. Geometría. Matemáticas. Secundaria.
  • El seno es el cateto opuesto al ángulo recto entre la hipotenusa:

Fórmulas para calcular el seno, el coseno y la tangente del ángulo de un triángulo rectángulo a partir de sus lados y problemas resueltos de trigonometría básica aplicando dichas fórmulas. Geometría. Matemáticas. Secundaria.
  • La tangente es el seno entre el coseno:

Fórmulas para calcular el seno, el coseno y la tangente del ángulo de un triángulo rectángulo a partir de sus lados y problemas resueltos de trigonometría básica aplicando dichas fórmulas. Geometría. Matemáticas. Secundaria.

Problema 1

Calcular el seno, el coseno y la tangente de los ángulos α y β del siguiente triángulo:

Fórmulas para calcular el seno, el coseno y la tangente del ángulo de un triángulo rectángulo a partir de sus lados y problemas resueltos de trigonometría básica aplicando dichas fórmulas. Geometría. Matemáticas. Secundaria.

Solución:

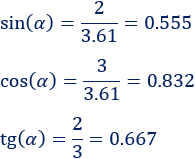
Ángulo α:

Fórmulas para calcular el seno, el coseno y la tangente del ángulo de un triángulo rectángulo a partir de sus lados y problemas resueltos de trigonometría básica aplicando dichas fórmulas. Geometría. Matemáticas. Secundaria.

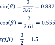
Ángulo β:

Fórmulas para calcular el seno, el coseno y la tangente del ángulo de un triángulo rectángulo a partir de sus lados y problemas resueltos de trigonometría básica aplicando dichas fórmulas. Geometría. Matemáticas. Secundaria.

Problema 2

Calcular los ángulos α y β del problema anterior (utilizando calculadora).

Solución:

Podemos calcular los ángulos si conocemos su seno, coseno o tangente con las teclas \(sin^{-1}\), \(cos^{-1}\) ó \(tan^{-1}\):

Fórmulas para calcular el seno, el coseno y la tangente del ángulo de un triángulo rectángulo a partir de sus lados y problemas resueltos de trigonometría básica aplicando dichas fórmulas. Geometría. Matemáticas. Secundaria.

Problema 3

Calcular el perímetro del siguiente triángulo:

Fórmulas para calcular el seno, el coseno y la tangente del ángulo de un triángulo rectángulo a partir de sus lados y problemas resueltos de trigonometría básica aplicando dichas fórmulas. Geometría. Matemáticas. Secundaria.

Solución:

Como el perímetro es la suma de los lados, necesitamos calcular los catetos \(h\) (altura) y \(b\) (base) del triángulo.

Recordamos las fórmulas del seno y del coseno:

Fórmulas para calcular el seno, el coseno y la tangente del ángulo de un triángulo rectángulo a partir de sus lados y problemas resueltos de trigonometría básica aplicando dichas fórmulas. Geometría. Matemáticas. Secundaria.

Como conocemos el ángulo α y la hipotenusa,

Fórmulas para calcular el seno, el coseno y la tangente del ángulo de un triángulo rectángulo a partir de sus lados y problemas resueltos de trigonometría básica aplicando dichas fórmulas. Geometría. Matemáticas. Secundaria.

Despejamos:

Fórmulas para calcular el seno, el coseno y la tangente del ángulo de un triángulo rectángulo a partir de sus lados y problemas resueltos de trigonometría básica aplicando dichas fórmulas. Geometría. Matemáticas. Secundaria.

Calculamos el perímetro:

Fórmulas para calcular el seno, el coseno y la tangente del ángulo de un triángulo rectángulo a partir de sus lados y problemas resueltos de trigonometría básica aplicando dichas fórmulas. Geometría. Matemáticas. Secundaria.

Problema 4

Calcular la hipotenusa del siguiente rectángulo:

Fórmulas para calcular el seno, el coseno y la tangente del ángulo de un triángulo rectángulo a partir de sus lados y problemas resueltos de trigonometría básica aplicando dichas fórmulas. Geometría. Matemáticas. Secundaria.

Solución:

Podemos calcular la hipotenusa a partir del seno del ángulo β porque conocemos el cateto opuesto a dicho ángulo:

Fórmulas para calcular el seno, el coseno y la tangente del ángulo de un triángulo rectángulo a partir de sus lados y problemas resueltos de trigonometría básica aplicando dichas fórmulas. Geometría. Matemáticas. Secundaria.

Despejando,

Fórmulas para calcular el seno, el coseno y la tangente del ángulo de un triángulo rectángulo a partir de sus lados y problemas resueltos de trigonometría básica aplicando dichas fórmulas. Geometría. Matemáticas. Secundaria.

La hipotenusa mide 3.161.

Problema 5

Calcular el ángulo β del triángulo utilizando la tangente:

Fórmulas para calcular el seno, el coseno y la tangente del ángulo de un triángulo rectángulo a partir de sus lados y problemas resueltos de trigonometría básica aplicando dichas fórmulas. Geometría. Matemáticas. Secundaria.

Solución:

Utilizamos la tangente:

Fórmulas para calcular el seno, el coseno y la tangente del ángulo de un triángulo rectángulo a partir de sus lados y problemas resueltos de trigonometría básica aplicando dichas fórmulas. Geometría. Matemáticas. Secundaria.

Por tanto, el ángulo es

Fórmulas para calcular el seno, el coseno y la tangente del ángulo de un triángulo rectángulo a partir de sus lados y problemas resueltos de trigonometría básica aplicando dichas fórmulas. Geometría. Matemáticas. Secundaria.

También, podemos utilizar el seno o el coseno, pero necesitamos la hipotenusa, que podemos calcularla por el teorema de Pitágoras porque conocemos los dos catetos del triángulo rectángulo.


Calcular porcentaje online ©

Problemas resueltos:

Enlaces de interés:


Calcular porcentaje online ©