%| Calcular porcentaje online

Problemas resueltos de sistemas de ecuaciones

Resolvemos problemas mediante un sistema de ecuaciones lineales de 2 ecuaciones con 2 incógnitas.

Como lo importante es plantear el sistema de ecuaciones, no resolvemos detalladamente los sistemas. Más información sobre los métodos en sistemas de ecuaciones.

Método de resolución:

  1. Obtener los datos
  2. Identificar las incógnitas \(x\) e \(y\)
  3. Plantear el sistema de dos ecuaciones
  4. Resolver el sistema

Más ejemplos en problemas de sistemas de ecuaciones.

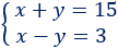
Problema 1

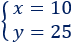
Hallar dos números sabiendo que su suma es 15 y su resta es 3.

Solución:

Incógnitas:

  • \(x\) es uno de los números
  • \(y\) es el otro número

Ecuaciones:

La suma de los números es 15:

Resolvemos problemas de sistemas de ecuaciones (con 2 incógnitas). Problemas prácticos (de aplicación). Álgebra. Secundaria. ESO. Matemáticas.

La resta de los números es 3:

Resolvemos problemas de sistemas de ecuaciones (con 2 incógnitas). Problemas prácticos (de aplicación). Álgebra. Secundaria. ESO. Matemáticas.

Sistema de ecuaciones:

Resolvemos problemas de sistemas de ecuaciones (con 2 incógnitas). Problemas prácticos (de aplicación). Álgebra. Secundaria. ESO. Matemáticas.

La solución del sistema es

Resolvemos problemas de sistemas de ecuaciones (con 2 incógnitas). Problemas prácticos (de aplicación). Álgebra. Secundaria. ESO. Matemáticas.

Por tanto, los números son 9 y 6.

Problema 2

Miguel es mayor que su hermana María. Dentro de 3 años, la edad de María será la edad que tiene ahora Miguel y, dentro de 10 años, la edad de Miguel será el doble de la edad que tiene María. ¿Qué edades tienen los hermanos?

Solución:

Incógnitas:

  • \(x\) es la edad de María
  • \(y\) es la edad de Miguel

Ecuaciones:

La edad de María dentro de 3 años es \(x+3\), que es la misma que la edad de Miguel:

Resolvemos problemas de sistemas de ecuaciones (con 2 incógnitas). Problemas prácticos (de aplicación). Álgebra. Secundaria. ESO. Matemáticas.

La edad de Miguel dentro de 10 años es \(y+10\), que es el doble de la edad de María:

Resolvemos problemas de sistemas de ecuaciones (con 2 incógnitas). Problemas prácticos (de aplicación). Álgebra. Secundaria. ESO. Matemáticas.

Sistema de ecuaciones:

Resolvemos problemas de sistemas de ecuaciones (con 2 incógnitas). Problemas prácticos (de aplicación). Álgebra. Secundaria. ESO. Matemáticas.

La solución del sistema es

Resolvemos problemas de sistemas de ecuaciones (con 2 incógnitas). Problemas prácticos (de aplicación). Álgebra. Secundaria. ESO. Matemáticas.

La edad de María es 13 y la de Miguel es 16.

Problema 3

Un rectángulo tiene perímetro 8 metros y su altura es el triple que su base. ¿Cuál es la altura del rectángulo?

Solución:

Incógnitas:

  • \(x\) es la base
  • \(y\) es la altura

Ecuaciones:

La altura es el triple que la base:

Resolvemos problemas de sistemas de ecuaciones (con 2 incógnitas). Problemas prácticos (de aplicación). Álgebra. Secundaria. ESO. Matemáticas.

El perímetro es la suma de sus cuatro lados:

Resolvemos problemas de sistemas de ecuaciones (con 2 incógnitas). Problemas prácticos (de aplicación). Álgebra. Secundaria. ESO. Matemáticas.

Es decir,

Resolvemos problemas de sistemas de ecuaciones (con 2 incógnitas). Problemas prácticos (de aplicación). Álgebra. Secundaria. ESO. Matemáticas.

Sistema de ecuaciones:

Resolvemos problemas de sistemas de ecuaciones (con 2 incógnitas). Problemas prácticos (de aplicación). Álgebra. Secundaria. ESO. Matemáticas.

La solución del sistema es

Resolvemos problemas de sistemas de ecuaciones (con 2 incógnitas). Problemas prácticos (de aplicación). Álgebra. Secundaria. ESO. Matemáticas.

Por tanto, la altura mide 3 metros.

Problema 4

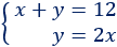
Hallar un número de dos cifras sabiendo que la suma de sus cifras es 12 y que la segunda es el doble de la primera.

Solución:

Incógnitas:

  • \(x\) es la primera cifra
  • \(y\) es la segunda cifra

Ecuaciones:

La suma de las cifras es 12:

Resolvemos problemas de sistemas de ecuaciones (con 2 incógnitas). Problemas prácticos (de aplicación). Álgebra. Secundaria. ESO. Matemáticas.

La segunda cifra es el doble de la primera:

Resolvemos problemas de sistemas de ecuaciones (con 2 incógnitas). Problemas prácticos (de aplicación). Álgebra. Secundaria. ESO. Matemáticas.

Sistema de ecuaciones:

Resolvemos problemas de sistemas de ecuaciones (con 2 incógnitas). Problemas prácticos (de aplicación). Álgebra. Secundaria. ESO. Matemáticas.

La solución del sistema es

Resolvemos problemas de sistemas de ecuaciones (con 2 incógnitas). Problemas prácticos (de aplicación). Álgebra. Secundaria. ESO. Matemáticas.

Por tanto, es el número 48.

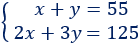
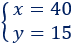
Problema 5

Un equipo de básquet anotó un total de 55 canastas, obteniendo 125 puntos. ¿Cuántos tiros de campo (2 puntos) y triples (3 puntos) realizaron?

Solución:

Incógnitas:

  • \(x\) es el número de tiros de campo
  • \(y\) es el número de tiros triples

Ecuaciones:

La suma total de tiros es 55:

Resolvemos problemas de sistemas de ecuaciones (con 2 incógnitas). Problemas prácticos (de aplicación). Álgebra. Secundaria. ESO. Matemáticas.

El tiro de campo suma 2 puntos y el triple suma 3, siendo 125 el total de puntos:

Resolvemos problemas de sistemas de ecuaciones (con 2 incógnitas). Problemas prácticos (de aplicación). Álgebra. Secundaria. ESO. Matemáticas.

Sistema de ecuaciones:

Resolvemos problemas de sistemas de ecuaciones (con 2 incógnitas). Problemas prácticos (de aplicación). Álgebra. Secundaria. ESO. Matemáticas.

La solución del sistema es

Resolvemos problemas de sistemas de ecuaciones (con 2 incógnitas). Problemas prácticos (de aplicación). Álgebra. Secundaria. ESO. Matemáticas.

El equipo realizó 40 tiros de campo y 15 triples.

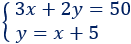
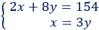
Problema 6

Carla gastó 154€ en camisetas y pantalones. Si el precio de cada camiseta era de 2€ y el de cada pantalón era de 8€ y compró 3 camisetas por cada pantalón, ¿qué cantidad de camisetas y pantalones compró?

Solución:

Incógnitas:

  • \(x\) es el número de camisetas
  • \(y\) es el número de pantalones

Ecuaciones:

El coste total es de 154:

Resolvemos problemas de sistemas de ecuaciones (con 2 incógnitas). Problemas prácticos (de aplicación). Álgebra. Secundaria. ESO. Matemáticas.

El número de camisetas es el triple que el de pantalones:

Resolvemos problemas de sistemas de ecuaciones (con 2 incógnitas). Problemas prácticos (de aplicación). Álgebra. Secundaria. ESO. Matemáticas.

Sistema de ecuaciones:

Resolvemos problemas de sistemas de ecuaciones (con 2 incógnitas). Problemas prácticos (de aplicación). Álgebra. Secundaria. ESO. Matemáticas.

La solución del sistema es

Resolvemos problemas de sistemas de ecuaciones (con 2 incógnitas). Problemas prácticos (de aplicación). Álgebra. Secundaria. ESO. Matemáticas.

Carla compró 33 camisetas y 11 pantalones.

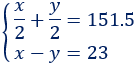
Problema 7

Juana mide 23cm más que Guadalupe y la altura promedio de ambas amigas es 151.5cm. ¿Cuánto mide Guadalupe?

Solución:

Incógnitas:

  • \(x\) es la altura de Juana
  • \(y\) es la altura de Guadalupe

Ecuaciones:

La altura promedio es 151.5:

Resolvemos problemas de sistemas de ecuaciones (con 2 incógnitas). Problemas prácticos (de aplicación). Álgebra. Secundaria. ESO. Matemáticas.

Juana mide 23cm más que Guadalupe:

Resolvemos problemas de sistemas de ecuaciones (con 2 incógnitas). Problemas prácticos (de aplicación). Álgebra. Secundaria. ESO. Matemáticas.

Sistema de ecuaciones:

Resolvemos problemas de sistemas de ecuaciones (con 2 incógnitas). Problemas prácticos (de aplicación). Álgebra. Secundaria. ESO. Matemáticas.

La solución del sistema es

Resolvemos problemas de sistemas de ecuaciones (con 2 incógnitas). Problemas prácticos (de aplicación). Álgebra. Secundaria. ESO. Matemáticas.

Juana mide 163cm.

Problema 8

Cortamos una cuerda de 60cm en 5 trozos. Hay 3 trozos cortos que miden lo mismo y los otros 2 trozos miden 5cm más que los cortos. ¿Cuánto miden los trozos?

Solución:

Incógnitas:

  • \(x\) es la longitud de los trozos pequeños
  • \(y\) es la longitud de los trozos grandes

Ecuaciones:

La longitud que suman todos los trozos es 60:

Resolvemos problemas de sistemas de ecuaciones (con 2 incógnitas). Problemas prácticos (de aplicación). Álgebra. Secundaria. ESO. Matemáticas.

Los trozos grandes miden \(5\)cm más que los pequeños:

Resolvemos problemas de sistemas de ecuaciones (con 2 incógnitas). Problemas prácticos (de aplicación). Álgebra. Secundaria. ESO. Matemáticas.

Sistema de ecuaciones:

Resolvemos problemas de sistemas de ecuaciones (con 2 incógnitas). Problemas prácticos (de aplicación). Álgebra. Secundaria. ESO. Matemáticas.

La solución del sistema es

Resolvemos problemas de sistemas de ecuaciones (con 2 incógnitas). Problemas prácticos (de aplicación). Álgebra. Secundaria. ESO. Matemáticas.

Los trozos cortos miden 8cm y los largos miden 13cm.

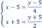
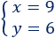
Problema 9

Hace 5 años, la edad de Maribel era la cuarta parte de la edad de su madre. Dentro de 5 años, su edad será la mitad que la de su madre. ¿Qué edad tiene Maribel?

Solución:

Incógnitas:

  • \(x\) es la edad actual de Maribel
  • \(y\) es la edad actual de la madre

Ecuaciones:

Hace 5 años, las edades de Maribel y de su madre eran \(x-5\) e \(y-5\). La edad de la hija era la cuarta parte:

Resolvemos problemas de sistemas de ecuaciones (con 2 incógnitas). Problemas prácticos (de aplicación). Álgebra. Secundaria. ESO. Matemáticas.

Dentro de 5 años, serán \(x+5\) e \(y+5\). La edad de la hija será la mitad:

Resolvemos problemas de sistemas de ecuaciones (con 2 incógnitas). Problemas prácticos (de aplicación). Álgebra. Secundaria. ESO. Matemáticas.

Sistema de ecuaciones:

Resolvemos problemas de sistemas de ecuaciones (con 2 incógnitas). Problemas prácticos (de aplicación). Álgebra. Secundaria. ESO. Matemáticas.

La solución del sistema es

Resolvemos problemas de sistemas de ecuaciones (con 2 incógnitas). Problemas prácticos (de aplicación). Álgebra. Secundaria. ESO. Matemáticas.

Maribel tiene 10 años.

Problema 10

En la nevera tenemos botellas de agua de 2L y de 3L. Si las 8 botellas que tenemos suponen un total de 19L, ¿cuántas botellas tenemos de cada tamaño?

Solución:

Incógnitas:

  • \(x\) es el número de botellas de 2L
  • \(y\) es el número de botellas de 3L

Ecuaciones:

Tenemos 9 botellas:

Resolvemos problemas de sistemas de ecuaciones (con 2 incógnitas). Problemas prácticos (de aplicación). Álgebra. Secundaria. ESO. Matemáticas.

En total de agua es 19L:

Resolvemos problemas de sistemas de ecuaciones (con 2 incógnitas). Problemas prácticos (de aplicación). Álgebra. Secundaria. ESO. Matemáticas.

Sistema de ecuaciones:

Resolvemos problemas de sistemas de ecuaciones (con 2 incógnitas). Problemas prácticos (de aplicación). Álgebra. Secundaria. ESO. Matemáticas.

La solución del sistema es

Resolvemos problemas de sistemas de ecuaciones (con 2 incógnitas). Problemas prácticos (de aplicación). Álgebra. Secundaria. ESO. Matemáticas.

Tenemos 5 botellas de 2L y 3 botellas de 3L.


Calcular porcentaje online ©

Problemas resueltos:

Enlaces de interés:


Calcular porcentaje online ©